Google sheets
Menu
Diagrammen Demografie
- Open het eindbestand demografie aruba.
- Maak in de werkmap een nieuw werkblad.
- Geef het werkblad de naam diagrammen.
Celverwijzing naar een ander werkblad
- Selecteer cel A2 in het nieuwe werkblad en typ het =teken.
- Klik op het werkblad data en klik daar op cel A3 (leeftijdsgroep 0-4).
De inhoud van de cel staat nu ook in het werkblad diagrammen.
De code in de cel ziet er zo uit: =data!A3 - Maak nu ook de volgende celverwijzingen:
- diagrammen b2: =data!B3
- diagrammen c2: =data!C3
- diagrammen d2: =data!T3
- diagrammen e2: =data!U3
we gaan nu een populatiepiramide of een horizontale gespiegelde staafgrafiek maken.
Voor deze grafiek moeten we de aantallen in de kolommen onder man veranderen in een negatief getal.
Dat doe je door achter de verwijzing in de cellen *-1 te typen.
- Verander in cel B3 de verwijzing.
=data!B4*-1
- Kopieer de gegevens met de vulgreep naar beneden zodat je alle gegevens tot totaal in het blad diagrammen hebt staan.

Staafdiagrammen
- Selecteer de cellen A3:C19 en maak een gestapeld staafdiagram
Doe de volgende aanpassingen aan het diagram:- Title.
- Legend text-label
- Rasterlijnen – Horizontale as:
Dit maakt de grafiek nauwkeuriger af te lezen. - Verticale as: volgorde omkeren:
Het is gebruikelijk om in een populatiepiramide de jongste leeftijd onderaan te zetten.
- Selecteer de cellen A3:A19 en D3:E19 en maak hiervan ook een staafdiagram.
Maak hiervoor dezelfde aanpassingen - Zorg dat het Max bereik op de horizontale as in beide diagrammen hetzelfde is.


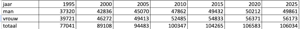
Smooth line chart
- Maak in het werkblad grafieken de tabel uit het voorbeeld na met celverwijzingen.
- Selecteer alle cellen van deze tabel en maak een Smooth line chart.
- Pas de grafiek aan zoals het voorbeeld.


Wat moet je weten en kunnen?
- Celverwijzing naar een ander werkblad
- Getallen veranderen van positief in negatief.
- populatiepiramide of horizontale gespiegelde staafgrafiek